アルカリ骨材反応抑制工法 ASRリチウム工法 技術資料(初版)
【第Ⅲ編 設計例】
2.道路橋 橋台の事例
2.1 構造物劣化状況の整理
(1) 構造物詳細
①一般構造
道路橋 橋台
幅15.00m×高さ4.25m,壁厚 0.60m,対象躯対体積38.25m
3 ②配筋図
無し(かぶり 50mm)
③設計基準強度
データ無し(推定 21N/mm
2)
(2002年制定 コンクリート標準示方書[構造性能照査編]より、弾性係数の設計値;23,500N/mm
2)
(2) 外観状況
①ひび割れ状態
ひび割れ延長 160m(幅0.2~3.0mm)/ひび割れ密度 1.8m/m
2 ASR特有の亀甲状ひび割れが発生しており、ひび割れ幅は拡大する傾向が見られた。
(3) コンクリート物性
①圧縮強度・弾性係数
圧縮強度;16.2~19.0N/mm
2,弾性係数;5,500~14,000N/mm
2 ②促進膨張試験結果
全膨張量1,200×10-6(残存膨張量 850×10-6)
JCI-DD2法 3ヶ月試験結果
③アルカリ量分析試験結果
データ無し;(現場施工時にアルカリ量分析を実施し、抑制剤量の見直しを行うことが望ましい)
(4) 補修履歴
無機系注入材(材料名;不明)によるひび割れ注入工の補修履歴があるが、表面被覆工による補修履歴はない
2.2 構造物に対する適用性の検討
圧縮強度・弾性係数の低下、および発生しているひび割れの性状やひび割れ幅が拡大傾向にあることや、促進膨張試験結果によればJCI-DD2における3ヶ月経過時の全膨張量が500×10
-6を超えており、今後、有害な膨張を生じることが懸念される。以上のことから【第Ⅰ編 設計・施工基準】2.1 適用範囲より、本構造物のASRによる劣化は【加速期(Ⅲ)】と推察され、本工法の適用範囲に該当している。
また、本構造物のように背面に表面被覆を施すことが出来ない構造物では、水分の供給遮断を目的とした補修工のみでは十分にASR抑制効果を得ることが出来ない場合が多く、本工法が最も適する構造物の一つである。
2.3 設計抑制剤量、濃度の検討
・設計抑制剤量はコンクリート中のNam
+に対してLim
+のモル比1.0と設定する。
・アルカリ量分析結果が無いため、過去の実績より、コンクリート中のアルカリ量(Na
2O量)を5.0kg/m
3と仮定して
設計抑制剤量の算定を行う。
・施工時期は5~8月(西日本)の予定であったため、ASR抑制剤(亜硝酸リチウム水溶液)は高濃度の40%水溶液
とする。
・下表より、設計抑制剤量は819kgとする。
(設計抑制剤量 21.37kg/m
3×38.3m
3=818.4≒819kg)

2.4 圧入孔(パッカー種別・圧入孔長)の検討
・鉄筋かぶりが50mmであるため、パッカー長150~200mmとする。
・深部存置長は鉄筋かぶりが50mmであるため、150mm存置する。
・パッカーはシングルパッカー(φ34mm)で設定する。

2.5 詳細圧入仕様の検討
(1) 設計注入圧力および上限注入圧力の設定
・上限注入圧力
圧縮強度;1.62N/mm2
表4.6-1 より 上限注入圧力 0.5Mpa とする。
・設計注入圧力 0.5MPa
(2) 詳細圧入仕様の検討
①設計注入圧力、圧入孔間隔、圧入孔本数
・設計注入圧力は0.5MPaと設定する。
・圧入孔間隔は750mmとし、【第Ⅰ編 設計・施工基準】4.5および4.6に従い、
下図のように基本配孔を設定する。
・圧入孔本数は次頁の図のように140孔となった。

②圧入孔1本当たりに圧入する抑制剤量Q(m
3)
・設計抑制剤量;819(kg)/1.25/1000=0.655(m
3)
Q=設計抑制剤量/圧入孔本数=0.655/140=0.005(m
3)
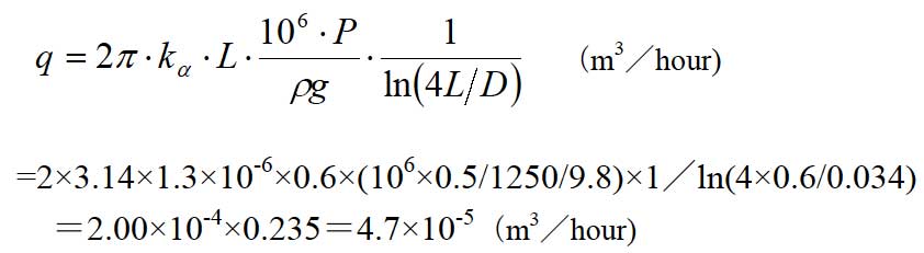
③圧入に要する時間t(hour)、設計圧入日数T(day)

ここに、
Q:圧入孔1孔あたりに圧入する抑制剤量(m
3)
q:時間当たりの圧入量(m
3/hour)
k
α:抑制剤の圧入のしやすさに関するパラメータ。コンクリートの圧縮強度に応じて
【第Ⅰ編 設計・施工基準】4.6中の表4.6-1の値を内挿補間するか、
【第Ⅱ編 設計圧入日数の算定方法(案)】の経験式を参照して設定する (m/hour)
k
α=7×10m
-6・e
-0.0892×19.0=1.3×10m
-6 P:設計注入圧力(= 0.5)(MPa)
ρ:抑制剤の密度(=1,200)(kg/m
3)
g:重力加速度(=9.8)(m/sec
2)
L:部材厚(=0.6)(m)
D:圧入孔径(=0.034)(m)
圧入に要する時間t(hour)は
t = Q/q (hour)
= 0.005/4.7×10-5=106.4 (hour)
ただし、
このとき、T:設計圧入日数(day)は
T = t/(一日あたりの圧入時間)
= 106.4/8=13.3≒14 (day)
2.6 表面シール工・補助工法含めた全体フローの検討
(1)表面シール工(ひび割れ注入工)
ASRリチウム工施工完了後の保護塗装の下地処理およびASRリチウム工の際、躯体表面からの抑制剤の
漏出・漏洩防止を目的として幅0.2mm以上のひび割れに対してひび割れ注入工を行う。ひびわれ
注入材は、ASRによる劣化が未収束なことや温度変化によるひび割れ幅の季節変動が予想されるため、
追従性の高いエポキシ樹脂系弾性タイプを用いることとする。
(2)表面シール工(表面被覆工)
ASRリチウム工の際、躯体表面の微細なひび割れからの抑制剤漏出・漏洩防止を目的とし、表面シール工
を行う。本構造物においては、ASRリチウム工施工完了後、別途、保護塗装に指定があるため、表面シール
工は、ASRリチウム工施工完了後シール撤去がしやすい、ポリマーセメント系下地調整材を用いる。
<<前頁
目次
次頁>>