アルカリ骨材反応抑制工法 ASRリチウム工法 技術資料(初版)
【第Ⅱ編解説 抑制剤の圧入しやすさに関するパラメータkαの設定方法】
2.抑制剤圧入に要する時間の定式化と抑制剤の圧入のしやすさに関するパラメーkαの設定方法
抑制剤の圧入のしやすさに関するパラメータをk
αとすると抑制剤の圧入に要する時間tは前述したように以下のように表すことができる。
t = Q/q 式(1) (再掲)
q = F(k
α) 式(2) (再掲)
k
α= h(f'
c)またはh(E
c) 式(3) (再掲)
ここに、
t:圧入に要する時間,Q:1圧入孔あたりに圧入する抑制剤量,q:時間あたりの圧入量, F(k
α):時間あたりの圧入量を求める関数,k
α:抑制剤の圧入のしやすさに関するパラメータ,h(f'
c),h(E
c):k
αを求める関数,f'
c,E
c: ASRにより劣化したコンクリートの劣化の指標(圧縮強度、弾性係数)
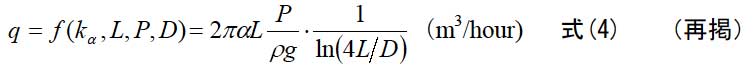
時間あたりの圧入量qを求める関数Fについては抑制剤の圧入のしやすさに関するパラメータk
αのみでだけではなく、注入圧力や圧入孔径、部材厚さも影響も考慮したqの算定式として式(4)を仮定した。

ここに、
f:時間あたりの圧入量を求める関数,P:設計注入圧力(MPa=10
6N/m
2),ρ:抑制剤の密度(=1,200)(kg/m
3),g:重力加速度(=9.8)(m/sec
2)L:部材厚(m),D:圧入孔径(m)
式(4)は井戸の揚水、注水等の地下水流動問題などによく用いられている定常放射状流れの式を、部材厚L,径Dの圧入孔においてP/ρgなるポテンシャルを与えたときの抑制剤の時間あたりの圧入量算定式としたものである。解.図-2にそのイメージを示す。ASRで劣化したコンクリート中の抑制剤の浸透メカニズムは経験的にひび割れ内の浸透(流れ)、コンクリートマトリックス中への圧力や濃度による拡散、骨材周辺への吸着などが複合的に関係していると推察され、式(4)で想定しているモデルとは異なる部分もあると思われるが、現状ではそれを詳細にモデル化し、考慮することは困難である。しかし、試験施工においては概ね定圧力、定流量(定常)の圧入となっていることや、抑制剤の圧入のしやすさに関するパラメータk
αを試験施工データに基づく経験式とすることで、k
αはASRで劣化したコンクリート中における抑制剤の浸透性状の不確定性を含んだ値を与え、式(4)により、現状得られている試験施工データレベルで概ね実施工に即した時間あたりの圧入量qを推定することができると考えられる。このため試験施工データからk
αを求め、その傾向を調べた。
ただし、


解.表-2および解.図-3に抑制剤の圧入のしやすさに関するパラメータk
αの算定結果を示す。圧縮強度または弾性係数と負の相関が見られ、一般の内部ひび割れのないコンクリートの浸透性(1.0×10
-12~1.0×10
-14 m/sec)に比べやや大きい値となっている。

解.表-2 抑制剤の圧入のしやすさに関するパラメータα算定結果

解.図-3 抑制剤の圧入のしやすさに関するパラメータkαの傾向
<<前頁
目次
次頁>>