アルカリ骨材反応抑制工法 ASRリチウム工法 技術資料(初版)
【第Ⅱ編解説 抑制剤の圧入しやすさに関するパラメータkαの設定方法】
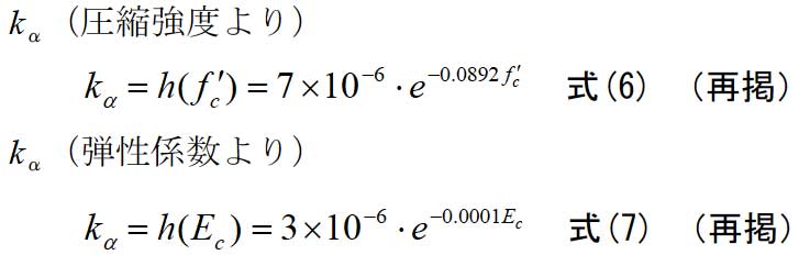
3.抑制剤の圧入のしやすさに関するパラメータkαの経験式
解.図-4は解.図-3ついて、圧縮強度あるいは弾性係数に関する抑制剤の圧入のしやすさに関するパラメータk
αの回帰分析を行ったものである。得られた回帰式を抑制剤の圧入のしやすさに関するパラメータk
αの経験式h(式(6),式(7))とした。


また、解.表-3は試験施工における対象構造物のコンクリートの圧縮強度あるいは弾性係数に抑制剤の圧入のしやすさに関するパラメータk
αの経験式hを適用し、圧入に要する時間tを求めたものである。
ただし、圧入に要する時間t(hour)は


解.表-3 経験式によるkαおよび圧入に要する時間の算定結果
※強度の小さいもの順に並べ替えた。
解.表-3より、西No.2の抑制剤の圧入のしやすさに関するパラメータk
αを弾性係数により求めた場合(表中太字)を除き、圧入要する時間の算定結果はいずれのケースも施工実績の平均+1.645Sd(95%確率)以内あるいはその3倍以内となっている。これより、圧縮強度あるいは弾性係数に基づき経験式により推定した抑制剤の圧入のしやすさに関するパラメータk
αを用いて求めた圧入に要する時間を1日あたりに圧入を行う時間(例えば昼間8時間施工を仮定)で除したもの、すなわち必要圧入時間(hour)/8(hour/day)を設計圧入日数とすることで昼間8時間の圧入で完了、あるいはばらつきにより圧入速度が遅い圧入孔が存在した場合でも圧入時間を最大24時間/dayに拡大することにより、概ね設計圧入日数内で圧入を完了できることが見込まれる。
よって、コンクリートの劣化状況(強度・弾性係数)に応じて式(6) ,式 (7)を使い分け、安全側のk
αを採用することにより、これまでの施工実績に基づき適切な圧入に要する時間の予測や設計圧入日数を設定することができる。
ただし、本手法を試験施工で得られている圧縮強度・弾性係数(解.表-1)の範囲以外に適用する場合は外挿近似となることに注意が必要である。また、圧力については注入圧力を高くして時間あたりの圧入量の増加を期待しても、乱流の影響により圧力の増加ほど圧入量が大きくならない可能性がある。試験施工は注入圧力0.5MPaで圧入を行っており、例えば注入圧力を1.0MPaとした場合における時間あたりの圧入量の線形性は確認されていない。ゆえに式(4)は圧力について線形であるが、k
αを求める経験式誘導は注入圧力0.5MPaのデータのみで行われているため、これ以外の注入圧力において本手法を用いる場合も外挿近似となることに注意が必要である。
しかし、現在までに得られているデータではデータ数が十分とは言い難いため、今後蓄積されるデータに基づき、適宜パラメータの見直しを行うことで精度の向上が期待できると考えられる。
<<前頁
目次
次頁>>